2021년 대우공무원수당 조견표입니다.
조견표란 한눈에 볼 수 있도록 만든 표를 말합니다. 대우공무원수당은 월봉금액의 4.1%를 지급하는데 미리 표로 계산을 해놔서 편하게 확인할 수 있게 만들어 놓은 것입니다. 조견표는 봉급액에 따라 산정이 되기 때문에, 매년 봉급액이 변경되면 같이 바뀝니다.
오늘은 2021 대우공무원수당 조견표에 대해서 알아보도록 하겠습니다. 일반직공무원, 공안업무 등에 종사하는 공무원, 일반직 우정직군 공무원, 지도직 공무원, 연구직 공무원, 소방공무원, 경찰공무원 순서대로 확인해보겠습니다.

1. 대우공무원 지급대상
대우공무원 선정조건 및 지급대상 등은 아래글에서 확인을 해보세요. <▼ 공무원 대우공무원수당 지급대상 등 총정리>
2. 일반직 공무원 대우공무원수당
일반직공무원의 대우공무원수당입니다. 4급 7호봉부터 28호까지, 5급 7호봉부터 30호봉까지, 6급 5호봉부터 32호봉까지, 7급 5호봉부터 31호봉까지, 8급 5호봉부터 31호봉까지, 9급 5호봉부터 31호봉까지 있습니다.

3. 공안업무 등에 종사하는 공무원
공안업무 등에 종사하고 있는 공무원의 대우공무원수당입니다. 일반직과 동일하게 4급 7호봉부터 9급 31호봉까지 있습니다. 지급되는 금액을 차이가 있습니다. 호봉표가 차이가 있기 때문입니다.

4. 일반직 우정직궁 공무원
일반직 우정직군 공무원의 대우공무원수당입니다. 2급 7호봉부터 있습니다. 9급 31호봉까지의 대우공무원수당입니다.

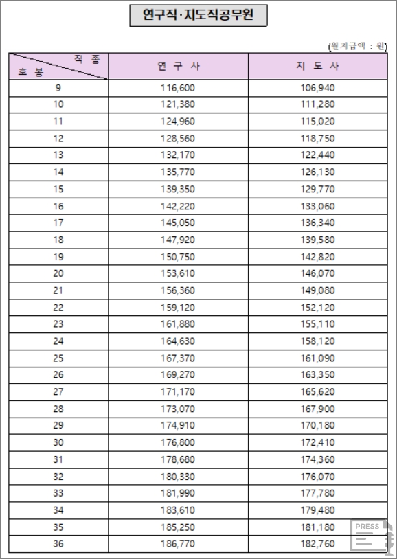
5. 연구직공원, 지도직공무원
연구사와 지도사의 대우공무원수당입니다. 연구사, 지도사는 각각 9호봉부터 대우공무원수당이 지급됩니다. 36호봉까지 대우공무원수당이 있습니다.

6. 경찰공무원, 소방공무원
마지막으로 경찰공무원과 소방공무원의 대우공무원수당입니다. 소방공무원은 소방정 7호봉부터 소방사 31호봉까지 지급이 됩니다. 경찰공무원은 총경 7호봉부터 순경 31호봉까지 대우공무원수당을 받을 수 있습니다.

2021년 대우공무원수당에 대해서 살펴보았습니다. 실제로 대우공무원수당은 9급 31호봉까지 받는 사람이 있을까 하는 생각도 듭니다. 30여년을 8급으로 진급하지 못하고 있다는 이야기일테니깐요. 아무리 승진이 안된다고 해도 그정도까지는 아닐거라 생각합니다.







최근댓글